
리버센트 푸르지오 위브 공급개요 주변시세 최근경쟁률
서울특별시 영등포구 영등포동5가에 위치하는 리버센트 푸르지오 위브는 지하 4층, 지상 33층 5개동 총 659세대 중 일반분양 175세대 전용면적 59㎡~84㎡ 총 5개타입으로 구성되어 있으며, 7월 7일 특별공급을 시작으로 일반공급 1순위 7월 8일, 일반공급 2순위 7월 9일, 당첨자발표 7월 15일, 계약체결은 7월 28일부터 30일까지이다.
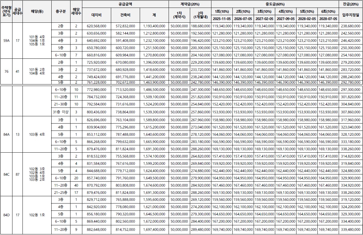
리버센트 푸르지오 위브 분양가는 59A 11억9340만원~12억7080만원, 76 13억9600만원~15억3930만원, 84A 15억8980만원~16억9130만원, 84C 15억7410만원~16억9130만원, 84D 15억9560만원~16억9740만원으로 책정되었으며, 청약자격은 최초 입주자모집공고일인 2025년 6월 27일 현재 서울특별시에 거주하거나 수도권(인천광역시, 경기도)에 거주(주민등록표등본 기준)하는 만19세 이상인 분 또는 세대주인 미성년자(자녀양육, 형제자매부양)라면 청약이 가능하다.
2024년 11월 영등포구 당산동4가에서 공급이 진행된 e편한세상 당산 리버파크는 일반공급 57가구 모집에 1만9404건이 접수되어 평균경쟁률 340.42대 1을 기록하기도 했다.
| <목차 Content> 1. 공급내역 2. 분양가 3. 입지 4. 평면도 5. 청약일정 |
1. 공급내역
1. 공급위치 : 서울특별시 영등포구 영등포동5가 32-8 일원
2. 공급규모 : 공동주택(아파트) 지하 4층, 지상 33층 5개동 총 659세대 中 일반분양 175세대
[특별공급 92세대(기관추천 17세대, 다자녀가구 16세대, 신혼부부 40세대, 노부모부양 4세대, 생애최초 15세대 포함)] 및 부대복리시설
3. 입주예정일 : 2029년 1월 예정(공정, 공사도급변경계약 및 인허가결과 등에 따라 변경될 수 있으며, 정확한 입주시기는 추후 개별 통보하기로 함.)


| 타입 | 특별공급 | 일반공급 |
| 59A | 7 | 10 |
| 76 | 22 | 19 |
| 84A | 7 | 6 |
| 84C | 46 | 41 |
| 84D | 10 | 7 |

◆ 리버센트 푸르지오 위브 최초 입주자모집공고일은 2025년 6월 27일(청약자격 요건 중 기간, 나이, 지역우선공급 등의 판단기준일)이며, 최초 입주자모집공고일 현재 서울특별시에 거주하거나 수도권(인천광역시, 경기도)에 거주(주민등록표등본 기준)하는 만19세 이상인 분 또는 세대주인 미성년자(자녀양육, 형제자매부양)[국내에서 거주하는 재외동포(재외국민, 외국국적 동포) 및 외국인 포함]의 경우 청약이 가능하다. 다만 청약신청자 중 경쟁이 있을 경우 해당 주택건설지역인 서울특별시 거주자가 우선한다.
◆ 리버센트 푸르지오 위브는 수도권 내 비투기과열지구 및 비청약과열지역의 민간택지에서 공급하는 분양가상한제 미적용 민영주택으로, 당첨자로 선정되더라도 「주택공급에 관한 규칙」 제54조에 따른 재당첨 제한을 적용받지 않으며, 기존 주택 당첨으로 인해 재당첨 제한 기간 내에 있는 분 및 그 세대에 속한 분도 본 아파트 청약이 가능하다. (단, 본 제도는 당첨된 청약통장의 재사용을 허용하는 제도가 아니므로 당첨된 청약통장은 계약여부와 관계없이 재사용이 불가하다)

◆ 1순위 청약자격 요건
1. 만 19세이상 누구나 : 세대주 및 세대원 청약가능
2. 수도권 전지역 : 입주자모집공고일 현재 서울/인천/경기 거주자(단, 경쟁시 서울시 거주자 우선)
3. 유주택자 청약가능 : 주택수 상관없이 청약가능(처분조건 없음)
4. 재당첨제한 無 : 기존 당첨사실이 있어도 청약가능(단, 과거 2년이내 가점제로 당첨된 자의 세대에 속한 경우 추첨제로 가능)
5. 청약통장 가입기간 12개월 : 지역별, 면적별 예치금 충족시 1순위 청약가능
6. 배우자 청약통장 가입기간 합산 : 가입기간의 50%, 최대 3점
⦁ 해당지역 : 입주자모집공고일 현재 서울특별시 거주자
⦁ 기타지역 : 입주자모집공고일 현재 경기도 및 인천광역시 거주자
⦁ 재당첨제한 : 없음 / 전매제한 : 1년 / 거주의무기간 : 없음
청약홈
http://www.applyhome.co.kr
www.applyhome.co.kr
2. 리버센트 푸르지오 위브 분양가



| 타입 | 분양가 |
| 59A | 11억9340만원~12억7080만원 |
| 76 | 13억9600만원~15억3930만원 |
| 84A | 15억8980만원~16억9130만원 |
| 84C | 15억7410만원~16억9130만원 |
| 84D | 15억9560만원~16억9740만원 |
| 주요타입 분양최고가 |
|
| 고척 푸르지오 힐스테이트 | 59D 10억240만원 84A 12억4060만원 |
| 힐스테이트 등촌역 | 59A 11억4000만원 84B 14억5400만원 |
| e편한세상 당산리버파크 | 51A 10억8450만원 59A 14억4230만원 |

올해 5월 구로구 고척동에서 공급된 고척 푸르지오 힐스테이트 일반공급 청약접수 결과, 262가구 모집에 3,543건이 접수되어 평균경쟁률 13.52대 1을 기록했다.

2024년 12월 강서구 등촌동에서 공급된 힐스테이트 등촌역 일반공급 청약접수 결과, 139가구 모집에 4,960건이 접수되어 평균경쟁률 35.68대 1을 기록했다.

2024년 11월 영등포구 당산동4가에서 공급된 e편한세상 당산 리버파크는 일반공급 청약접수 결과, 57가구 모집에 1만9404건이 접수되어 평균경쟁률 340.42대 1을 기록했다.
2024.11.14-e편한세상 당산 리버파크 공급가 주변시세 평면도 청약자격은?
e편한세상 당산 리버파크 공급가 주변시세 평면도 청약자격은?
e편한세상 당산 리버파크 공급가 주변시세 평면도 청약자격은?서울특별시 영등포구 당산동4가에서 공급되는 e편한세상 당산 리버파크는 지하 3층, 지상 25층 8개동 공동주택 550세대 중에서 일반
azmicx.tistory.com

<3개월내 실거래 최고가>
아크로타워스퀘어(2017년/1221세대)
-84㎡ 18억5000만원(25년6월)
포레나영등포센트럴(2020년/185세대)
-84㎡ 14억원(25년5월)
문래자이(2001년/1302세대)
-84㎡ 15억7000만원(25년5월)
당산센트럴아이파크(2020년/802세대)
-84㎡ 19억2000만원(25년5월)
당산역롯데캐슬프레스티지(2017년/198세대)
-84㎡ 16억5000만원(25년6월)
3. 리버센트 푸르지오 위브 입지


⦁ 약 4천여 세대로 완성되는 영등포 뉴타운
⦁ 지하철 5호선 영등포시장역 여의도 직주근접
⦁ 초중고 및 목동 학원가 우수한 교육환경
⦁ 어디로든 빠르게 이동이 편리한 광역교통망
⦁ 대형마트, 백화점, 병원 등 완벽한 인프라
4. 리버센트 푸르지오 위브 평면도













리버센트 푸르지오 위브 홈페이지
https://www.prugio.com/hb/2025/rivercent/
리버센트 푸르지오 위브
-->사통팔달 역세권 --> 영등포 뉴타운 자부심 --> --> 리버센트 푸르지오 위브
www.prugio.com

5. 청약일정


특별공급 : 7월 7일
일반공급 1순위 : 7월 8일
일반공급 2순위 : 7월 9일
당첨자발표 : 7월 15일
서류제출 : 7월 17일~22일
계약체결 : 7월 28일~30일
시공사 : ㈜대우건설, 두산건설㈜
건축감리 : ㈜청우종합건축사사무소
전기감리 : ㈜조은엔지니어링
소방정보통신감리 : ㈜지여이앤씨




국토교통부 실거래가공개시스템
국토교통부 실거래가공개시스템
새로운 소식 국토교통부 실거래가 공개시스템의 새로운 소식을 확인하실 수 있습니다. 보도자료 공지사항 FAQ
rt.molit.go.kr
'생활정보' 카테고리의 다른 글
| 해링턴 스퀘어 리버파크 모집공고 최근시세 입지분석 (1) | 2025.06.27 |
|---|---|
| 오퍼스 한강 스위첸 공급내역 입지VR 신청자격 실거래가현황 (1) | 2025.06.27 |
| 고덕 자연앤 하우스디 국민/민영 공급개요 시세현황 주의사항 (3) | 2025.06.27 |
| 오티에르 포레 공급내역 입지분석 주변시세 청약자격 (6) | 2025.06.26 |
| 아산탕정자이 센트럴시티 아파트 공급내역 입지분석 신청자격 (1) | 2025.06.25 |